
Figure 1 Research results on pressure-driven spatial decision-making for the placement of infrastructures
In responding to threats such as flooding, resource depletion, and ecological degradation, a balance between ecological security, urban development, and regional natural endowments is required. Green and grey runoff control infrastructures’ benefits extend from an environmental aspect to economic and ecological aspects as they are applied, and their adaptability is greatly influenced by different regions. So, the environmental, economic, and ecological pressures facing the region are highly synergistic and complex, and identifying priority relief strategies for regional pressures through the subjective preferences of managers alone may be at odds with reality. Targeted decisions on the spatial arrangement of runoff control infrastructures can effectively relieve the multiple pressures faced by the region. Based on this, the research group first quantified the spatial heterogeneity of regional environmental, economic and ecological pressures, then studied the areas subject to multiple pressures and analyzed the weights of pressure relief in different areas, and finally developed differentiated options for runoff control infrastructures in different areas based on the weights, thus deciding the adaptive spatial arrangement of runoff control infrastructures.
In terms of environmental factors, the storage and self-purification capacity of receiving water bodies show spatial unevenness, resulting in spatial heterogeneity in the urgency of regulating the pressure of regional runoff’s water volume and quality. The quantitative analysis of regional water volume and quality pressures can be used to guide the development of compensatory schemes for runoff control infrastructures. At the same time, based on the research results, targeted spatial runoff regulation schemes can be proposed.

Figure 2 Regulation pressure of regional runoff’s water volume and quality
In terms of economic factors, the opportunity cost of land occupation, local financial support and the uneven spatial distribution of economic activities limit the investment in the infrastructure life cycle. The big numbers of land value, GDP, and the density of economic activities in human settlements are all located in the urban centers on both sides of the Yangtze River. This suggests that highly urbanized areas have higher economic sensitivity. Quantification of regional economic pressures from multiple perspectives can determine the areas where the cost is suitable for constructing runoff control infrastructures from the perspective of their full life cycle.

Figure 3 Distribution of economic pressure
Ecosystem service value (ESV) includes water resource supply, climate regulation, landscape aesthetic benefits, atmospheric and water purification, and species conservation. ESV is spatially uneven, but its spatial distribution of high-value areas is significantly different from that of economic and environmental pressures. The identification of ESV’s spatial heterogeneity can help judge a region’s suitability for the ecological compensation for runoff control infrastructures.

Figure 4 Distribution of regional ecological resources
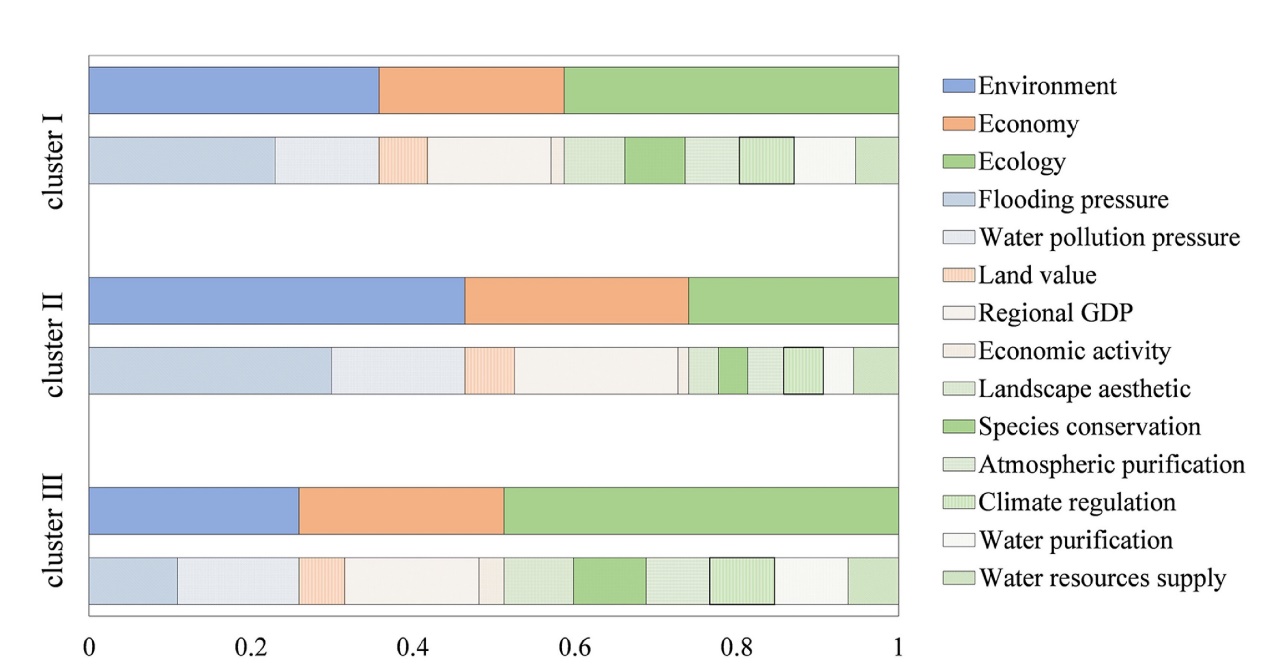
Regional multi-perspective pressure synergy states can be identified by pressure clustering, with differing priority levels of the regulation of environmental, economic, and ecological pressures within each demand region. The distribution of regional states shows significant spatial heterogeneity. The quantification of pressures offers the possibility of comparing multifaceted regulatory demands. Each region corresponds to a combination of different environmental, economic, and ecological pressure weights, leading to targeted solutions for runoff control infrastructures.

Figure 5 Geographical distribution of different demand regions
The pressures in each cluster were consolidated into weights that represent the priority of requirements for regulation. In demand region I, ecological and environmental pressures (both with a weight of 0.4) have a high weighting and are in urgent need of regulation, while economic pressures are relatively minor. In demand region II, the environmental criterion is the greatest pressure (with a weight of 0.5) and needs to be prioritized in infrastructure development; it’s followed by the constraints of regional economic pressure, and then ecological pressure. In demand region III, ecological pressure (with a weight of 0.5) takes precedence over environmental and economic constraints, indicating a higher degree of urgency to alleviate ecological pressure.

Figure 6 The weighting of various pressure regulation demands
The research group combined environmental, economic, and ecological multi-criteria weights within each demand region where the pressures need regulation to weight the multifunctional benefits of runoff control infrastructures and achieve a differentiated ranking of infrastructure performance within the different regions, enabling the proposal for spatial planning and targeted infrastructure placement in different regions. Green infrastructure is ranked first in demand region I, where the simultaneous relief of ecological and environmental pressures has a high priority. Grey infrastructure is ranked first in demand region II and III, where the relief of ecological or environmental pressure is a high priority.

Figure 7 Ranking of infrastructure placement in different regions
The research results above have been published in Water Research under the title “Adaptive pressure-driven multi-criteria spatial decision-making for a targeted placement of green and grey runoff control infrastructures”, with Professor Jia Haifeng and PhD student Liu Zijing from the School of Environment as the first authors and Professor Jia as corresponding author.
Website link of the mentioned paper:
https://www.sciencedirect.com/science/article/pii/S0043135422000896